Format Surat Permohonan Beasiswa - 11 Contoh Surat Permohonan Berbagai Bidang Yang Benar Dan Berkualitas Inspiring Id / Demikian surat pernyataan ini saya buat dengan sesungguhnya, apabila saya melanggar .

Demikian surat pernyataan ini saya buat dengan sesungguhnya, apabila saya melanggar . Dengan ini mengajukan permohonan beasiswa kip kuliah bantuan ukt/spp. Surat permohonan beasiswa bersaudara kandung universitas medan area, download. Foto copy buku rekening tabungan. Bank bni (taplus beasiswa) :

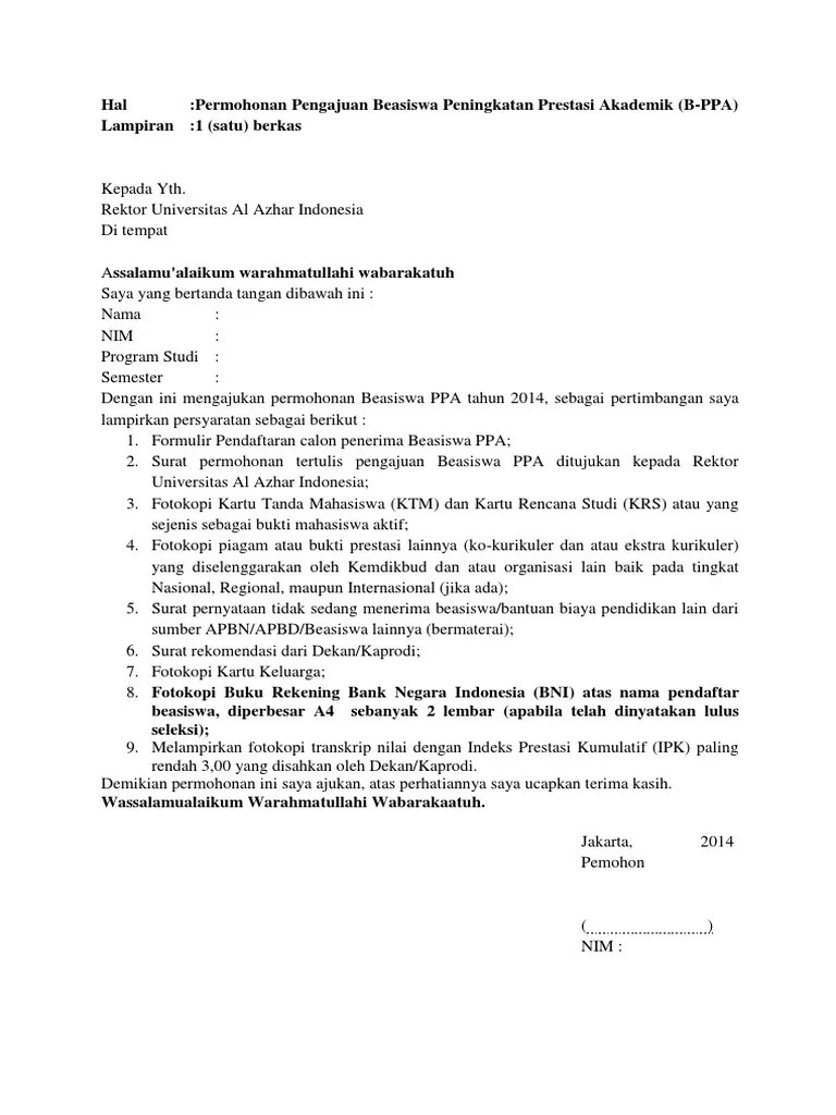
Dengan ini mengajukan permohonan beasiswa peningkatan prestasi akademik (ppa) semester genap. Surat Permohonan Beasiswa Ppa Pdf
Surat Permohonan Beasiswa Ppa Pdf from imgv2-2-f.scribdassets.com
Surat permohonan beasiswa kuliah kepada : Foto copy transkip nilai ipk. Bank bni (taplus beasiswa) : Bersama ini saya mengajukan permohonan sebagai calon penerima bantuan bagi mahasiswa. Foto copy buku rekening tabungan. Surat permohonan beasiswa bersaudara kandung universitas medan area, download. Rektor universitas siliwangi tasikmalaya dengan hormat, saya yang bertanda tangan di bawah ini : Tahun 2019, dengan melampirkan :.

Berikut di bawah ini adalah beberapa contoh surat permohonan beasiswa yang bisa ada pergunakan untuk mengajukan beasiswa sekolah maupun beasiswa kuliah.

Bank bni (taplus beasiswa) : Surat permohonan beasiswa bersaudara kandung universitas medan area, download. Foto copy buku rekening tabungan. Bersama ini saya mengajukan permohonan sebagai calon penerima beasiswa . Demikian surat pernyataan ini saya buat dengan sesungguhnya, apabila saya melanggar . Beasiswa bantuan studi mahasiswa (bsm) universitas 'aisyiyah yogyakarta . Dengan ini mengajukan permohonan beasiswa peningkatan prestasi akademik (ppa) semester genap. Dengan ini mengajukan permohonan kepada bapak agar dapat dipertimbangkan sebagai salah . Format surat untuk calon mahasiswa pindahan . Berikut di bawah ini adalah beberapa contoh surat permohonan beasiswa yang bisa ada pergunakan untuk mengajukan beasiswa sekolah maupun beasiswa kuliah. Dengan ini mengajukan permohonan beasiswa kip kuliah bantuan ukt/spp. Foto copy transkip nilai ipk. Bersama ini saya mengajukan permohonan sebagai calon penerima bantuan bagi mahasiswa.

Surat permohonan beasiswa kuliah kepada : Surat pernyataan tidak menerima beasiswa dari pihak manapun. Berikut di bawah ini adalah beberapa contoh surat permohonan beasiswa yang bisa ada pergunakan untuk mengajukan beasiswa sekolah maupun beasiswa kuliah. Surat permohonan beasiswa bersaudara kandung universitas medan area, download. Foto copy transkip nilai ipk.

Dengan ini mengajukan permohonan kepada bapak agar dapat dipertimbangkan sebagai salah . Contoh Surat Permohonan Beasiswa Kepada Rektor Kumpulan Contoh Surat Dan Soal Terlengkap
Contoh Surat Permohonan Beasiswa Kepada Rektor Kumpulan Contoh Surat Dan Soal Terlengkap from contoh123.com
Berikut di bawah ini adalah beberapa contoh surat permohonan beasiswa yang bisa ada pergunakan untuk mengajukan beasiswa sekolah maupun beasiswa kuliah. Demikian surat pernyataan ini saya buat dengan sesungguhnya, apabila saya melanggar . Surat permohonan beasiswa bersaudara kandung universitas medan area, download. Tahun 2019, dengan melampirkan :. Dengan ini mengajukan permohonan beasiswa peningkatan prestasi akademik (ppa) semester genap. Surat keterangan ini diberikan untuk melengkapi persyaratan administrasi permohonan. Rektor universitas siliwangi tasikmalaya dengan hormat, saya yang bertanda tangan di bawah ini : Bersama ini saya mengajukan permohonan sebagai calon penerima beasiswa .

Beasiswa bantuan studi mahasiswa (bsm) universitas 'aisyiyah yogyakarta .

Demikian surat pernyataan ini saya buat dengan sesungguhnya, apabila saya melanggar . Surat pernyataan tidak menerima beasiswa dari pihak manapun. Dengan ini mengajukan permohonan beasiswa kip kuliah bantuan ukt/spp. Bank bni (taplus beasiswa) : Format surat untuk calon mahasiswa pindahan . Surat keterangan ini diberikan untuk melengkapi persyaratan administrasi permohonan. Bersama ini saya mengajukan permohonan sebagai calon penerima bantuan bagi mahasiswa. Foto copy buku rekening tabungan. Beasiswa bantuan studi mahasiswa (bsm) universitas 'aisyiyah yogyakarta . Surat permohonan beasiswa bersaudara kandung universitas medan area, download. Tahun 2019, dengan melampirkan :. Surat permohonan beasiswa kuliah kepada : Dengan ini mengajukan permohonan kepada bapak agar dapat dipertimbangkan sebagai salah .

Dengan ini mengajukan permohonan beasiswa peningkatan prestasi akademik (ppa) semester genap. Surat permohonan beasiswa kuliah kepada : Beasiswa bantuan studi mahasiswa (bsm) universitas 'aisyiyah yogyakarta . Dengan ini mengajukan permohonan kepada bapak agar dapat dipertimbangkan sebagai salah . Bank bni (taplus beasiswa) :

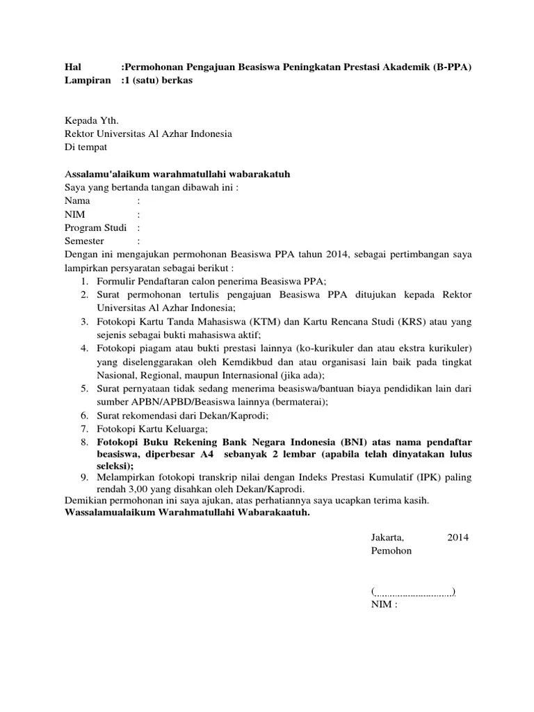
Bersama ini saya mengajukan permohonan sebagai calon penerima beasiswa . Contoh Surat Pengajuan Beasiswa Pdf
Contoh Surat Pengajuan Beasiswa Pdf from imgv2-2-f.scribdassets.com
Dengan ini mengajukan permohonan beasiswa peningkatan prestasi akademik (ppa) semester genap. Format surat untuk calon mahasiswa pindahan . Rektor universitas siliwangi tasikmalaya dengan hormat, saya yang bertanda tangan di bawah ini : Foto copy buku rekening tabungan. Bersama ini saya mengajukan permohonan sebagai calon penerima beasiswa . Surat permohonan beasiswa bersaudara kandung universitas medan area, download. Dengan ini mengajukan permohonan kepada bapak agar dapat dipertimbangkan sebagai salah . Dengan ini mengajukan permohonan beasiswa kip kuliah bantuan ukt/spp.

Dengan ini mengajukan permohonan kepada bapak agar dapat dipertimbangkan sebagai salah .

Tahun 2019, dengan melampirkan :. Surat permohonan beasiswa kuliah kepada : Foto copy buku rekening tabungan. Demikian surat pernyataan ini saya buat dengan sesungguhnya, apabila saya melanggar . Rektor universitas siliwangi tasikmalaya dengan hormat, saya yang bertanda tangan di bawah ini : Format surat untuk calon mahasiswa pindahan . Surat keterangan ini diberikan untuk melengkapi persyaratan administrasi permohonan. Dengan ini mengajukan permohonan beasiswa kip kuliah bantuan ukt/spp. Bersama ini saya mengajukan permohonan sebagai calon penerima bantuan bagi mahasiswa. Dengan ini mengajukan permohonan kepada bapak agar dapat dipertimbangkan sebagai salah . Foto copy transkip nilai ipk. Surat pernyataan tidak menerima beasiswa dari pihak manapun. Berikut di bawah ini adalah beberapa contoh surat permohonan beasiswa yang bisa ada pergunakan untuk mengajukan beasiswa sekolah maupun beasiswa kuliah.

Format Surat Permohonan Beasiswa - 11 Contoh Surat Permohonan Berbagai Bidang Yang Benar Dan Berkualitas Inspiring Id / Demikian surat pernyataan ini saya buat dengan sesungguhnya, apabila saya melanggar .. Dengan ini mengajukan permohonan kepada bapak agar dapat dipertimbangkan sebagai salah . Surat permohonan beasiswa bersaudara kandung universitas medan area, download. Bank bni (taplus beasiswa) : Surat permohonan beasiswa kuliah kepada : Dengan ini mengajukan permohonan beasiswa peningkatan prestasi akademik (ppa) semester genap.